
Neprijatna rasprava o povećanju plata u Srbiji
Da li srpski radnici zaista dobijaju više nego što zaslužuju? Pitanje zvuči provokativno, ali se postavlja sa sve većom nelagodom. Od 2021. godine plate rastu brže nego ranije – najpre kao deo kompenzacija u doba kovida, a zatim zbog nedostatka radne snage koji je radnicima dao nešto veću pregovaračku moć. Ono što zabrinjava mnoge ekonomiste nije to što ljudi više zarađuju, već što produktivnost ne prati taj rast.
U tom ključu ide i alarm Bogdana Petrovića u Novoj ekonomiji, pod naslovom „Rast minimalca ili katastrofa u najavi“. On tvrdi da je poslednje povećanje minimalca (u dve faze, oktobar pa januar) nastavak pogubne prakse: minimalac raste znatno brže od plata u javnom sektoru, ruši postojeće platne razrede i demotiviše visokoobrazovane u javnim službama, pa troškovno i institucionalno pritiska privredu.
Vredi pomenuti i prigovor koji, poput Petrovića, iznosi i profesor Ljubomir Savić: povećanje minimalca navodno ‘povlači’ naviše čitavu platnu lestvicu, kako se ne bi suviše stisle razlike između najnižih i viših koeficijenata. Po tom viđenju, poslodavci i javne službe, da bi očuvali razlike po složenosti i odgovornosti posla, dižu i ostale plate, što stvara dodatni troškovni pritisak, naročito u sektorima sa formalnim platnim razredima i u firmama sa uskim maržama.
Bivši guverner Narodne banke Srbije Dejan Šoškić upozorava da, kada plate rastu brže od proizvodnje, dok dinar ostaje snažan, privreda se naginje ka uvozu i netržišnim sektorima poput građevinarstva i trgovine. Izvoznici gube konkurentnost, strani dug i vlasništvo rastu, a Srbija rizikuje da ostane sa većim prihodima na papiru, ali sa oslabljenom proizvodnom osnovom.
Na nedavnom okruglom stolu koji je organizovao CEVES, učesnici su istakli sličan skup rizika: rast troškova rada i energije, jačanje dinara i produktivnost koja ne uspeva da održi korak sa platama. Napomenuli su da Srbija prati obrasce prisutne širom regiona – realnu aprecijaciju i širenje jaza između plata i produktivnosti – ali da se sa njima suočava na nižem nivou razvoja, što pritisak na konkurentnost čini još težim.
Najnovije povećanje minimalne zarade, koje stupa na snagu 1. januara 2026, dodatno je zaoštrilo raspravu. Vlada je odlučila da minimalac poveća na 64.554 dinara (oko 550 evra), što je 37 procenata više nego krajem 2024. godine – oko 150 evra mesečno više. Pregovori u Socijalno-ekonomskom savetu završeni su bez dogovora: sindikati (SSSS i UGS „Nezavisnost“) tražili su 70.000 dinara (oko 600 evra), tvrdeći da povećanje samo prati rast cena i ne vraća izgubljenu kupovnu moć. Unija poslodavaca se protivila svemu iznad 500 evra, upozoravajući da bi mnoge male i izvozne firme teško podnele veće troškove rada. Vlada je izabrala kompromis, jasno stavljajući do znanja da je odlučila da brani realne prihode, čak i po cenu viših troškova rada u kratkom roku.
Nagli rast plata u poslednje vreme ponovo je otvorio staru brigu: šta se događa kada zarade prerastu ono što privreda stvara, naročito u uslovima politike „jakog“ dinara. U takvom okviru izvoznici gube cenovnu konkurentnost, uvoz raste, a deficit tekućeg računa se češće pokriva zaduživanjem i prodajom imovine nego većim izvozom. S vremenom takva struktura finansiranja i podsticaja pomera vlasništvo ka stranim investitorima – u firmama, zemljištu i nekretninama – ostavljajući privredu bogatijom na papiru, ali slabijom u proizvodnim kapacitetima. Upozorenja sa nedavnih diskusija podsećaju na poznatu logiku „holandske bolesti“: sektori sa snažnom domaćom tražnjom i niskom produktivnošću (građevinarstvo, nekretnine, trgovina) mogu privremeno podići BDP, ali potiskuju izvozne delatnosti koje nose dugoročni rast i dohodak. Kratkoročno brojke izgledaju bolje; dugoročno proizvodna osnova slabi.
Da raščistimo šta se uopšte poredi
Pre rasprave o tome ko je „preplaćen“, treba da prestanemo da poredimo jabuke i šrafcigere. Postoje dve važne razlike.
Prvo, nivoi naspram godišnjih stopa rasta. Nivoi pokazuju dugoročan odnos između onoga što radnici proizvedu i onoga što zarade. U Srbiji taj dugoročni odnos i dalje pokazuje da su plate ispod produktivnosti, s tim da se jaz tek u poslednje vreme blago sužava. Godišnje stope rasta, s druge strane, otkrivaju kratke epizode u kojima plate nakratko „pobegnu“ napred (kao posle 2021), ili zaostaju. Oba pogleda su potrebna da bismo razumeli da li se radi o strukturnoj promeni ili samo prolaznom naletu.
Drugo, devizni kurs naspram realne privrede. Kretanje plata i produktivnosti govori nam o domaćim troškovima proizvodnje; dinar pokazuje koliko ti troškovi izgledaju skupo stranim kupcima kada se preračunaju u evre. Firma može imati rast troškova po jedinici proizvoda zato što plate rastu prebrzo, zato što je dinar jak – ili zbog oba razloga. Ako to pomešamo, završićemo tako što ćemo kriviti radnike za ono što je delom posledica kursne politike.
Kao što je Marx još 1844. primetio, kretanje nadnica govori više o društvenim odnosima moći nego o nekom prirodnom zakonu produktivnosti; zato pre nego što sudimo o „preplaćenosti“, odvajamo pitanje raspodele od cena i deviznog kursa. Samo tako se može reći da li je nedavni rast plata problem plata, problem cena – ili kombinacija oba.
Šta pokazuju podaci
Pre nego što uđemo u raspravu o platama i posledicama, važno je napomenuti da minimalna zarada ima vrlo ograničen domet, pa su joj ograničene i makroekonomske posledice. Trenutno, prema zvaničnim podacima, minimalac obuhvata oko 90.000 radnika, odnosno približno 3,8% zaposlenih. Ne govorimo, dakle, o povećanju „svima redom“, već o korekciji na donjem rubu raspodele. Uz to, kada minimalnu zaradu uporedimo sa minimalnom potrošačkom korpom, vidi se da je većinu godina rasla sporije od osnovnih troškova života. Kao na Grafikonu 1, linija minimalca uglavnom je ispod linije korpe; povremena približavanja bila su kratka. Zato povećanje koje stupa na snagu 2026. pre svega predstavlja delimično hvatanje koraka sa troškovima, a ne iznenadni skok standarda niti potez koji sam po sebi može proizvesti makro „katastrofu“.

Zabrinutost oko minimalca prati i širi skup problema koje sindikati već godinama ističu. Savez samostalnih sindikata Srbije je na sednici SES-a 13. novembra upozorio da se rast najnižih zarada ne može posmatrati izdvojeno od dve paralelne tendencije: kompresije plata u javnom sektoru i otpuštanja u pojedinim granama privatne privrede. U javnim službama, povećanje minimalca potiskuje razliku između složenijih i manje složenih poslova, jer platni razredi godinama nisu reformisani; rezultat je urušavanje celog sistema koeficijenata odozdo. U privatnom sektoru, otpuštanja se koncentrišu baš u autoindustriji – delu privrede od koje je Srbija ekonomski zavisna više nego što priznaje. Ta zavisnost je dvostruka: strukturna (uvoz tehnologija, delova i know-how) i ciklična (pad potražnje i tranzicija evropske autoindustrije direktno se prelivaju na pogone u Srbiji). Nije, dakle, rast minimalca taj koji „gura“ otpuštanja, već krhka pozicija Srbije unutar evropskog vrednosnog lanca, gde domaća ulaganja, znanje i decision-making imaju ograničenu ulogu.
Čak i kada se minimalac privremeno približi minimalnoj korpi, nevladine organizacije upozoravaju da je to i dalje nedovoljno: Centar za politike emancipacije podseća da bi minimalna zarada trebalo da garantuje da radnici nisu u riziku od siromaštva, što danas nije slučaj, te procenjuje da bi tek plata reda veličine oko 150.000 dinara – približno dva i po puta veća od minimalca – mogla da pokrije osnovne socijalne i egzistencijalne potrebe. Podizanje ovog donjeg praga pre svega služi održavanju društvene reprodukcije rada, a ne dodeljivanju renti. Marxova teza iz 1844. i dalje važi: nominalna plata koja samo trči za troškovima ne menja osnovni odnos.
Često se ponavlja tvrdnja da podizanje minimalca „povuče naviše“ celu skalu plata, što potvrđuje i jednostavna ekonometrijska analiza mesečnih podataka za period 2020-2025. Kada uklonimo uobičajeni trend (inflaciju i sezonska kolebanja) i pogledamo šta se dešava kroz vreme, efekat minimalca uglavnom se pojavljuje u istom mesecu kada je odluka stupila na snagu, a već posle jednog do dva meseca ne preliva se dalje na medijalnu ni na prosečnu platu. Drugim rečima, imamo administrativni skok na dnu, ali ne i trajno „pomeranje lestvice“ za većinu radnika. To je i logično kad znamo da minimalac direktno obuhvata manje od 4% zaposlenih: obim je suviše mali da bi sam od sebe pravio makro talas. Zato podizanje minimalca koje sada gledamo treba čitati pre svega kao ciljanu socijalnu korekciju na dnu raspodele, a ne kao potez koji automatski diže sve zarade ili destabilizuje ceo sistem.
Dodatno, kada pogledamo kauzalnost na mesečnim podacima 2020-2025, ne nalazimo dokaz da povećanje minimalca sistematski „povlači“ medijalnu ili prosečnu platu. Efekat je uglavnom ograničen na mesec stupanja odluke na snagu i potom brzo iščezava. Čak i više, promene u sredini platne raspodele češće prethode kasnijem pomeranju minimalca, što govori da se zakonski minimum prilagođava opštem platnom trendu, a ne obrnuto.
U širem, ekonomskom okviru, u periodu 2007-2023. plate su u Srbiji uglavnom zaostajale za onim što radnici proizvedu. U svim većim sektorima dodata vrednost po zaposlenom veća je od prosečne zarade, a taj jaz se posle 2012. dodatno produbljuje. Na Grafikonu 2 (levo) vidi se zbirna slika: dodata vrednost po zaposlenom (tamna linija, u hiljadama dinara) stalno je iznad prosečne bruto i neto plate, uz kratko približavanje posle 2021, ali bez preokreta trenda. (Za širu raspravu o mehanizmima odnosa plata i produktivnosti i metodološkim pitanjima, videti moj raniji tekst „Paradoks odnosa plata i produktivnosti“.)

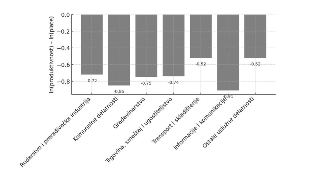
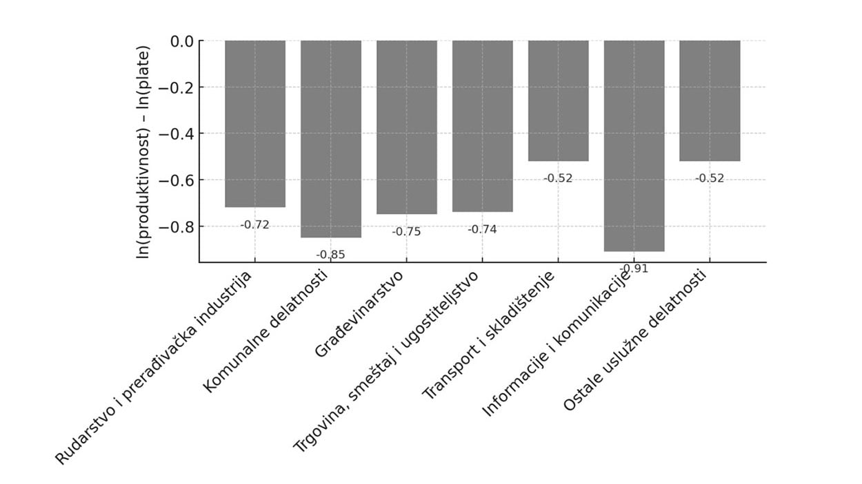
Sektorska struktura prikazana je na Grafikonu 3: sve vrednosti su negativne (ln produktivnost – ln plate), što znači da su zarade niže od produktivnosti, a najveći jaz postoji u kapitalno intenzivnim delatnostima. Posebno se izdvaja sektor informacionih i komunikacionih tehnologija (IKT) – ironično, upravo onaj koji Srbija često promoviše kao svoj motor rasta. IKT ima i makroekonomski značaj: reč je o ključnom izvoznom sektoru (oko 30% izvoza usluga i približno 10% ukupnog izvoza). Kada vodeći izvozni sektor beleži veliki jaz između plata i produktivnosti, problem nije samo u raspodeli dohotka, već i u slabljenju izvozne osnove koja bi trebalo da nosi dugoročni rast.

Od 2021. godine plate su određeni period rasle brže od produktivnosti. To je uglavnom bio efekat oporavka nakon kovida i zategnutog tržišta rada, a ne skok efikasnosti. Taj kratkotrajni nalet vidi se na Grafikonu 2 (desno), gde nominalni indeks neto plata privremeno prelazi indeks produktivnosti u 2021-2022, a zatim se smiruje. Drugim rečima, kratki sprint na vrhu dugotrajnog zaostajanja. U relativnim terminima, jaz se samo blago suzio: dodata vrednost po zaposlenom pala je sa 2,08 puta više od prosečne bruto plate 2012. na 1,92 puta 2023. godine. U apsolutnim terminima, produktivnost i dalje ubedljivo nadmašuje plate.
A šta je sa deviznim kursom?
Srbija primenjuje režim upravljanog fluktuiranja kursa. Vrednost dinara se formira na tržištu, dok Narodna banka interveniše samo da ublaži prevelike oscilacije, a ne da brani fiksni nivo. Grafikon 4 pokazuje zašto to i dalje opterećuje izvoznike. Nominalni efektivni kurs (NEER) – ponderisani prosek vrednosti dinara prema valutama glavnih trgovinskih partnera – ostao je uglavnom stabilan. Realni efektivni kurs (REER) koriguje isti pokazatelj za inflaciju kod nas i u inostranstvu. Kada cene u Srbiji rastu brže nego kod partnera, REER raste čak i ako se nominalni kurs dinara gotovo ne menja.

Upravo to se dogodilo poslednjih godina: nominalni kurs delovao je stabilno, ali je realni stalno rastao. U praksi su srpski proizvodi postajali skuplji u inostranstvu, pa je zemlja gubila konkurentnost bez ikakve „devalvacije“ ili „aprecijacije“ na papiru.
Da li je odgovor slabljenje dinara? Slabiji dinar može privremeno poboljšati izvozne cene, ali ne može stvoriti kapacitete kojih nema. Struktura izvoza u Srbiji ne ostavlja mnogo prostora za brzo povećanje obima – devalvacija bi istovremeno poskupela uvoznu opremu i sirovine u ekonomiji zavisnoj od uvoza (što je u skladu s Prebiš-Singerovom tezom o pogoršanju uslova razmene na periferiji), a mogla bi i da poveća teret deviza kod zaduženja, dok bi domaću imovinu učinila jeftinijom za strane preuzimanja. Devizni kurs može da ublaži šokove, ali ne može da zameni inovacije, tehnološki napredak i sofisticiraniju izvoznu strukturu, što je kritično za ekonomski napredak Srbije (videti moj članak o ovogodišnjoj Nobelovoj nagradi).
U periodu 2021-2025. realni efektivni kurs (REER) bio je blizu višegodišnjeg maksimuma, što znači da je realna aprecijacija smanjivala dinarske prihode izvoznika i olakšavala uvoznu konkurenciju. Uz produktivnost koja je preslaba da podrži izvoz, tekući račun je ostao u deficitu i finansiran je prilivima kapitala (zaduživanje, portfeljni tokovi i strane direktne investicije, uključujući nekretnine). Ništa od toga se ne preliva direktno u veće plate: podaci pokazuju da strane firme u proseku ne plaćaju više od domaćih kada se uzmu u obzir sektor i zanimanje, pa rast stranog vlasništva više menja raspodelu profita i kontrolu nego nivo zarada. Strana preduzeća već ostvaruju oko trećine ukupne dodate vrednosti i zapošljavaju približno petinu radne snage, što potvrđuje srednjoročni trend rasta stranog vlasništva, vođenog podsticajima i akvizicijama, a ne kursnim promenama.
Javni dug nije eksplodirao. Na kraju 2024. iznosio je oko 48% BDP-a, a krajem septembra ove godine pao je na 43%, što je u skladu s fiskalnim planom koji cilja deficit od oko 3% BDP-a. Režim upravljanog fluktuiranja znači da se dnevna stabilnost kursa postiže pre svega intervencijama i deviznim rezervama, a ne zaduživanjem države radi „odbrane“ nivoa. Iako su plate od 2021. ubrzale rast, a produktivnost nije pratila taj tempo, što je povećalo jedinične troškove rada, to samo po sebi ne vodi dužničkoj spirali; kretanje duga zavisi od fiskalne politike i rasta.
Suština je jasna: visoki REER uz plate koje nadmašuju produktivnost guraju privredu ka uvozu i finansiranju putem priliva kapitala i, uz izdašne podsticaje, odgovaraju rastućem udelu stranog vlasništva u industriji i nekretninama. Ali zaključak nije da plate treba smanjiti. Naprotiv: zaštita realnih zarada mora ići ruku pod ruku s politikama koje povećavaju produktivnost u sektorima koji izvoze i sprečavaju trajnu realnu aprecijaciju. Problem konkurentnosti jeste stvaran – ali scenariji dužničke katastrofe nisu potvrđeni brojkama.
Radnici nisu preplaćeni; model je preslab
Kada se plate, produktivnost i devizni kurs posmatraju odvojeno, podaci jasno pokazuju: neravnoteža u Srbiji nije problem plata, već cena i strukture privrede.
Da su plate zaista „previsoke“, dugoročni jaz između onoga što radnici proizvedu i onoga što zarade bi se zatvarao. Ne zatvara se. Krive se ne presecaju (Grafikon 1). Čak ni nakon „trke plata“ posle 2021, dodata vrednost po zaposlenom i dalje je ubedljivo iznad i bruto i neto zarada, a sektorski jaz ostaje negativan za rad – uključujući i u IKT sektoru. Kratkoročno slika deluje haotično, ali dugoročno i dalje govori o potplaćenosti. Čak i posle povećanja minimalne zarade 2026. godine, prosečna bruto plata ostaje ispod dodate vrednosti po zaposlenom.
Pad konkurentnosti koji je usledio nije dokaz „prekomernih“ plata, već posledica kursa i cena – dodatno otežana slabim tehnološkim napredovanjem. Dok je nominalni efektivni kurs (NEER) uglavnom mirovao, realni (REER) je rastao, što znači da je Srbija gubila cenovnu konkurentnost bez ijednog dramatičnog pomeranja kursa. Izvoznici su to osetili ne zato što su radnici odjednom „oteli“ veći deo kolača, već zato što su domaće cene rasle brže nego u privredama partnera.
Zašto, onda, produktivnost ne stiže plate? Ne zato što su srpski radnici lenji; naprotiv. Produktivnost rada u Srbiji ubrzala je poslednjih godina. Tokom većeg dela prethodne decenije rasla je sporije nego u Sloveniji, Hrvatskoj i EU27, ali je od oko 2018. godine počela da ih sustiže i prestiže. Zbirno gledano, do 2024. produktivnost rada u Srbiji dostigla je oko 1,35 puta nivo iz 2010, dok je u Hrvatskoj iznosila oko 1,26, a u Sloveniji 1,2 (Grafikon 5).
Dodatno, kako podseća Dragan Aleksić u tek objavljenom radu „Institucije i politike na tržištu rada u Srbiji“, srpski radnici ne samo da povećavaju produktivnost, nego i rade znatno više od kolega u drugim evropskim zemljama. Prosečan radni nedeljni fond iznosi 42,6 sati, u poređenju sa 31,6 sati u Holandiji, 39,6 sati u Sloveniji i 39,8 u Hrvatskoj. Drugim rečima, radnici u Srbiji rade duže i stvaraju sve više, ali taj rast nije ispraćen adekvatnim rastom plata.
A i kada govorimo o samom dnu raspodele, poređenja ne ostavljaju mnogo nedoumica. Čak i nakon poslednjeg povećanja, srpski minimalac – oko 619 evra – ostaje daleko ispod minimalne zarade u Sloveniji (1.278 evra) i Hrvatskoj (970 evra).

Glavna ograničenja su strukturna. Inovacije i savremene tehnologije sporo se šire: firme usvajaju nove procese i digitalne alate neujednačeno i kasno; menadžerske sposobnosti zaostaju; a veze između nauke, istraživanja i industrije su tanke, što ograničava rast efikasnosti čak i u firmama koje posluju stabilno. Pored toga, Srbija propušta prilike za stvaranje dodatne vrednosti, jer je njen izvoz pretežno sastavljen od inputa za tuđe finalne proizvode – naročito u nemačkom automobilskom lancu – i od sirovina ili minimalno prerađenih roba u rudarstvu i poljoprivredi. Takva struktura ograničava domaće učešće u maržama, učenju i prenosu znanja. Grubo rečeno: mi izvozimo delove i sirovine; drugi izvoze brendove i sisteme.
Struktura podsticaja dodatno nagrađuje kvantitet umesto kvaliteta. Subvencije i javne nabavke često favorizuju broj zaposlenih i brzinu realizacije, a ne produktivnost, domaće veze i složenost proizvodnje, uz povremeni politički favoritizam. Rezultat je veliki udeo stranih filijala, sa neujednačenim transferom tehnologije i ograničenim razvojem domaćih dobavljača. Nedostatak stručnih srednjih kadrova, plitko menadžersko znanje u malim i srednjim preduzećima i oskudica dugoročnog kapitala drže firme u sredini lanca vrednosti, bez mogućnosti da se penju više.
Izvozna struktura nije jedino ograničenje. Srbija je veliki neto uvoznik energije – samo nafta i gas čine oko desetinu ukupnog uvoza u 2023. godini. Slabiji dinar bi povećao dinarske cene ovih inputa, podigao troškove u energetskim sektorima, smanjio kupovnu moć domaćinstava i poništio skromne dobitke koje bi doneo jeftiniji izvoz. Taj „kanal troškova“ delimično objašnjava zašto monetarna politika favorizuje stabilan kurs: nije reč samo o konkurentnosti, već i o pokušaju da se računi za struju i prevoz ne pretvore u politički eksploziv. Drama oko NIS-a pokazuju koliko je Srbija u tom pogledu ranjiva. Zastoj naftne industrije bi u kratkom roku zaustavio ključne sektore i, prema procenama, izbrisao više od 2,5 milijardi evra BDP-a i više od milijardu evra budžetskih prihoda godišnje, uz 30-40 hiljada radnih mesta manje ako bi kriza potrajala.
Iz toga sledi da politika ne treba da sputava rast zarada, već da ojača motor koji čini pravedne plate održivim. Plate treba da budu usidrene u rastućoj produktivnosti u izvoznim sektorima, a ne u „optičkoj“ stabilnosti kursa, uz zaštitu realnih prihoda na dnu i izbegavanje politika koje stvaraju trajnu realnu aprecijaciju. Podsticaje treba preusmeriti ka modernizaciji, ne samo privlačenju investicija – i usloviti ih merljivim rezultatima: rast dodate vrednosti po radniku, složeniji izvoz, veći domaći sadržaj i širu upotrebu tehnologije, uz postepeno ukidanje šema koje zapošljavaju bez povećanja sposobnosti.
Suštinska poruka ostaje: srpski radnici nisu preplaćeni. Podaci pokazuju deceniju potplaćenosti, sa kratkim, inflacionim „hvatanjem koraka“ koje je i dalje ostavilo jaz između plata i produktivnosti. Problem nije u visini plata per se, već u produktivnosti i strukturi proizvodnje. Čak i kada nominalne plate rastu, relativni položaj može da stagnira ako produktivnost i profiti rastu brže od zarada. Upravo to vidimo u Srbiji: kratko „hvatanje koraka“ povrh dugog perioda potplaćenosti. Ako popravimo model koji stvara vrednost – kroz inovacije, modernizaciju i jače domaće veze – pravedne plate neće ugroziti konkurentnost. Ako to ne uradimo, nikakva „uzdržanost“ u platama neće doneti rast koji Srbija traži.
Peščanik.net, 04.12.2025.
SVET RADA




